你知道吗?在全球有约5亿人被诊断为关节炎,它已成为50岁以上人群丧失劳动力的第二个常见原因,仅次于心脏病。尤其是在60岁以上的人群中,有超过一半饱受骨关节炎的困扰。
一项由英联邦科学与工业研究组织(CSIRO)与澳大利亚国家科学局执行,Swiss H&H研究赞助,在三个临床试验地点的新研究,调查了磷虾油对患有轻度至中度膝关节骨关节炎(OA)的成年人的影响。
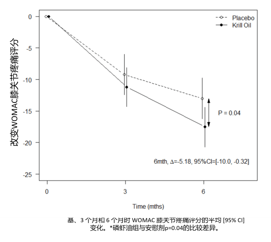
这项为期六个月,严格设计的临床试验得出结论,磷虾油磷脂可以安全食用,并改善了轻度至中度膝关节骨关节炎成人的膝盖疼痛,僵硬和身体功能。

本次研究汇集了来自供应链、研究和行业的高质量合作伙伴,建立一个不仅具有科学意义,而且对所有参与者都有商业价值的研究合作。
研究详情和结果
参与这项研究的235名健康男性和女性年龄在40至65岁之间,他们日常饮食中摄入少量的长链omega-3脂肪酸,也没有服用鱼油补充剂,并且都接受了膝关节骨关节炎的临床诊断。该研究在2018年至2019年间进行了六个月,参与者被随机分为两组:一组安慰剂组和一组试验组。试验组需要每天接受4克磷虾油,提供880毫克长链Omega-3脂肪酸和450微克虾青素。研究人员会在试验初始,三个月和六个月时对参与者进行评估。
该研究表明,与安慰剂组相比,磷虾油组的膝关节疼痛在六个月内有所改善。此外,与安慰剂相比,磷虾油组的膝关节僵硬和身体功能有更大的改善。膝关节结果使用西安大略和麦克马斯特大学关节炎指数(WOMAC)数字量表进行评估,这是评估髋关节和膝关节骨关节炎的黄金标准方法。
此外,磷虾油组的Omega-3指数水平从初始的6.0%,三个月后上升到8.9%,六个月后上升到9.0%。
CSIRO首席研究科学家和研究负责人Welma Stonehouse博士表示,严谨的科学在验证补充药物的有效性方面发挥着重要作用。
经过四年的酝酿,这项临床试验代表了迄今为止规模最大,时间最长,剂量最高的研究,旨在研究磷虾油对膝关节骨关节炎的影响,“ CSIRO首席研究科学家Stonehouse博士说。
膝关节疼痛是骨关节炎的常见类型,研究表明,在 40岁及以上的个体中,膝关节骨关节炎的全球患病率为30%。非手术手段缓解这种疼痛通常使用非甾体抗炎药 (NSAIDs)。由于这些药物会带来不良反应,研究人员正在寻求有效的替代疗法。先前的研究和临床试验表明,来自海洋来源的Omega-3多不饱和脂肪酸可能是缓解关节疼痛的替代方案之一。
这项研究发表在《美国临床营养学杂志》,标题“磷虾油改善轻度至中度膝关节骨性关节炎患者的骨关节炎膝关节疼痛: 一项为期 6 个月的多中心,随机双盲安慰剂对照试验” ,由Welma Stonehouse,Bianca Benassi-Evans,Jana Bednarz,Andrew Vincent,Stephen Hall和Catherine L. Hill撰写。
美国临床营养学杂志文献
关于英联邦科学与工业研究组织(CSIRO)
CSIRO是澳大利亚的国家科学机构,也是世界上最大的任务驱动型多学科科学和研究机构之一。
一个多世纪以来,他们与工业界、政府、大学和研究机构合作,通过创新的科学和技术解决最大的挑战。
CSIRO处于澳大利亚营养科学和生活方式研究的最前沿。他们的研究涉及个人,人口和环境健康之间的复杂关系。
CSIRO的营养与健康研究诊所位于南澳大利亚的生物医学区,为II期至IV期临床试验提供了一种包罗万象的方法。他们与专门从事大脑,肠道和心脏代谢健康的研究科学家密切合作,提供的服务包括研究方案设计和开发,专门的伦理委员会,多中心研究现场管理和独立的临床站点。









Chinese (Simplified)
Dutch
English
French
German
Italian
Portuguese
Russian
Spanish